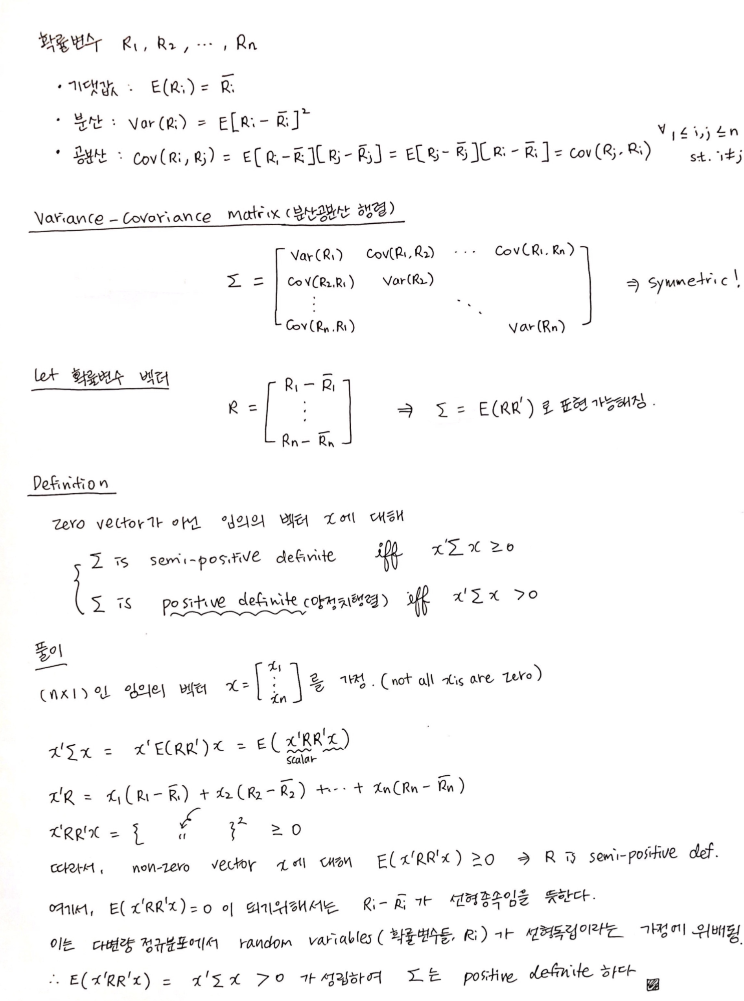
[문제] 분산공분산행렬이 양정치행렬인지 알아보자
통계학ㅤ/ㅤ확률분포

[문제] 분산공분산행렬이 양정치행렬인지 알아보자

문제

분산공분산행렬(variance-covariance matrix)이 양정치행렬(positive definite)인지 알아보자

 


풀이

 

 

(p.23) 예제 1 - 15