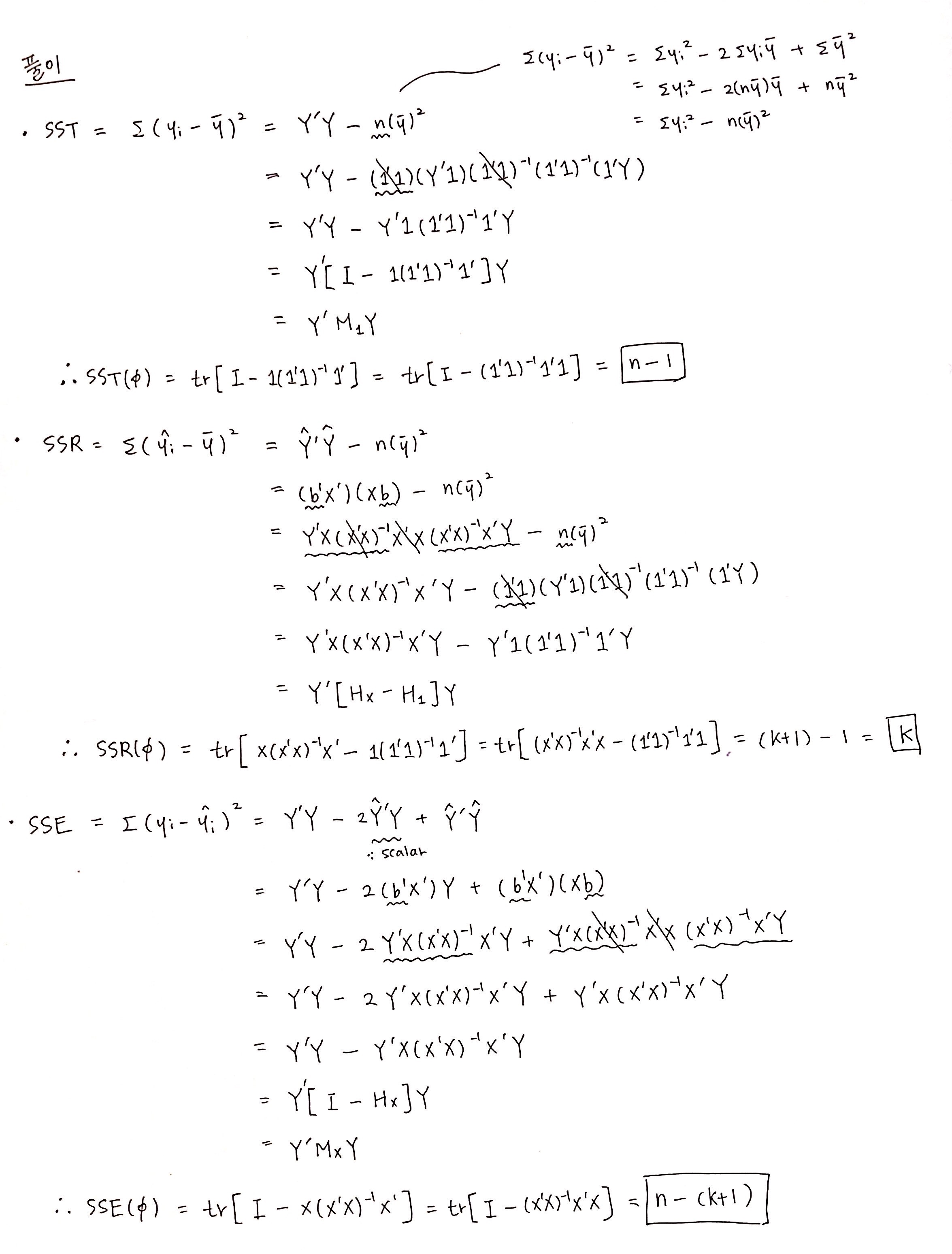
[문제] 다중회귀분석에서 각각의 제곱합들에 대한 자유도를 구해보자
통계학ㅤ/ㅤ확률분포

[문제] 다중회귀분석에서 각각의 제곱합들에 대한 자유도를 구해보자

문제

다중회귀분석에서 각각의 제곱합들에 대한 자유도를 구해보자


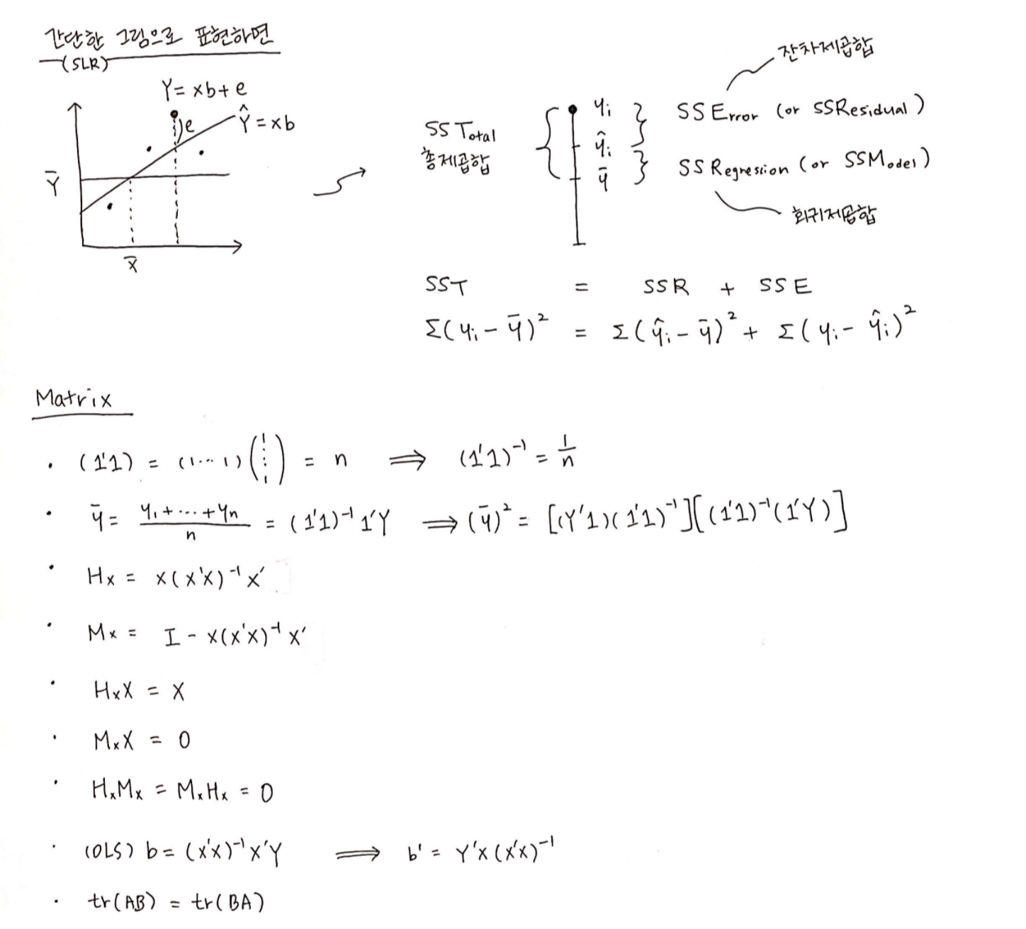
이해 및 풀이

 

다중회귀분석에서 Y hat: Y spanned by the column vector of X

 

(p.11) 예제 1 - 5